1. Botanical Classification and Plant Structure
Turmeric (Curcuma longa L.) is a perennial herbaceous plant belonging to the family Zingiberaceae, which includes other economically important crops such as ginger and cardamom. Although cultivated as an annual crop, turmeric exhibits perennial growth characteristics, regenerating each season through underground rhizomes.
The plant consists of three primary components:
● Above-ground vegetative system: leaves and pseudostem
● Below-ground storage system: rhizomes and roots
● Reproductive structures: inflorescence (rarely utilised in cultivation)
The pseudostem is formed by tightly packed leaf sheaths rather than a true stem. This structure supports photosynthetic leaves while directing assimilates downward toward rhizome development.
________________________________________
2. Rhizome Morphology and Functional Anatomy
The rhizome is the economic and physiological centre of the turmeric plant. It serves as:
● A storage organ for carbohydrates and secondary metabolites
● A vegetative propagation unit
● The primary site of curcumin accumulation
Turmeric rhizomes are categorised into:
● Mother rhizomes: central, thick, storage-rich structures
● Primary fingers: lateral extensions with high curcumin concentration
● Secondary fingers: smaller extensions contributing to propagation
Lakadong turmeric typically exhibits denser rhizome tissue and deeper internal pigmentation, reflecting its elevated curcuminoid content.
________________________________________
3. Growth Stages and Physiological Phases
Turmeric growth can be divided into distinct physiological phases, each with specific metabolic priorities:
a. Sprouting and Establishment Phase (0–40 days)
Characterized by emergence of shoots from planted rhizomes, root initiation, and early leaf development. Adequate moisture and temperature stability are critical during this phase.
b. Vegetative Growth Phase (40–120 days)
Marked by rapid leaf expansion and canopy development. Photosynthetic activity peaks, and carbohydrate production increases substantially. Nutrient availability during this phase strongly influences final rhizome potential.
c. Rhizome Initiation and Bulking Phase (120–210 days)
Assimilates are redirected from leaves to rhizomes. Cell division and starch accumulation intensify, and secondary metabolite synthesis, including curcumin, accelerates.
d. Maturation and Senescence Phase (210–270 days)
Leaf senescence begins, and rhizomes reach physiological maturity. Harvest timing during this phase has a direct impact on curcumin concentration and rhizome quality.
________________________________________
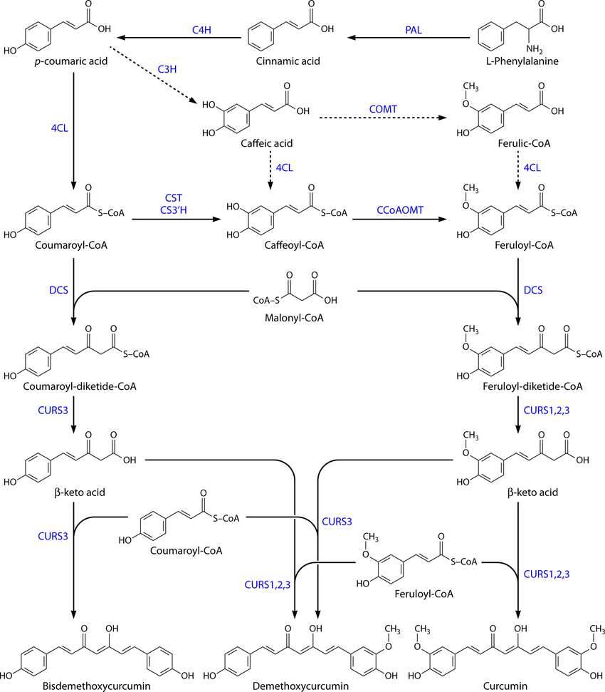
4. Curcumin Biosynthesis: Biochemical Pathway Overview
Curcumin biosynthesis in turmeric occurs primarily within rhizome tissues and is part of the plant’s secondary metabolism. The process involves a complex interaction of phenylpropanoid and polyketide pathways, resulting in the formation of curcuminoids—curcumin, desmethoxycurcumin, and bisdemethoxycurcumin.


Key influencing factors include:
● Carbon availability from photosynthesis
● Enzyme activity regulated by temperature and nutrition
● Water stress and oxygen availability in the rhizome zone
Lakadong turmeric is believed to possess genetic traits that enhance flux through these pathways, resulting in consistently higher curcumin accumulation under favourable conditions.
________________________________________
5. Environmental Influence on Physiology and Curcumin Expression
Environmental conditions directly influence turmeric physiology and biochemical outcomes. Excessive water stress, temperature extremes, or nutrient imbalance can disrupt source–sink relationships, reducing both rhizome growth and curcumin synthesis.
Protected cultivation systems offer the ability to:
● Maintain optimal temperature ranges
● Regulate soil moisture and aeration
● Minimise physiological stress
● Promote stable metabolic activity
These controls are especially critical during the rhizome bulking phase, when curcumin biosynthesis is most active.
________________________________________
6. Implications for Cultivation System Design
Understanding turmeric botany and physiology provides the scientific basis for adopting controlled cultivation approaches. By aligning polyhouse design, nutrient management, and irrigation scheduling with the plant’s physiological needs, growers can significantly improve both yield quality and biochemical consistency.
For Lakadong turmeric, where curcumin content defines market value, precision management is not optional but essential.
________________________________________
7. Lead-in to the Next Section
This section has explained how turmeric’s biological structure and metabolic pathways govern rhizome development and curcumin accumulation. The next part examines why polyhouse cultivation offers a scientifically superior environment for managing these processes compared to open-field systems.
________________________________________
🔗 Continued in PART 4
Why Polyhouse Cultivation for Lakadong Turmeric: Scientific and Agronomic Rationale